인쇄 회로 기판 내 금 코팅의 기계적 물성 측정
오늘날 전자 산업에서는 재료의 절약 뿐만 아니라 구조 크기가 급격히 줄어들고 있기 때문에 더 얇은 코팅이 사용되고 있습니다.
예를 들어, 단지 수백 nm의 두께를 갖는 금 코팅의 기계적 물성을 확실하게 결정하기 위해서는 정확하고 정밀한 측정 기술이 필요합니다.
PCB에 사용되는 얇은 Au(금) 코팅은 부식 방지, 납땜 성을 개선하고 마모를 방지하기위한 다양한 목적을 제공해야합니다.
이러한 얇은 코팅의 경도 또는 탄성과 같은 기계적 물성을 감지하기 위해, 나노인덴테이션 테스트는 기재의 영향을 피할 수있는 추가적인 이점이있는 적합한 방법입니다.

그림.1 : Au 코팅 인쇄 회로 기판
슬라이딩 접점과 같은 기계적 응력을받는 어플리케이션의 경우 기계적 물성은 꾸준하게 나타나야 합니다.
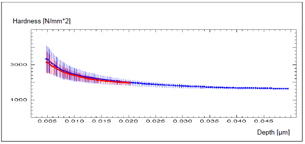
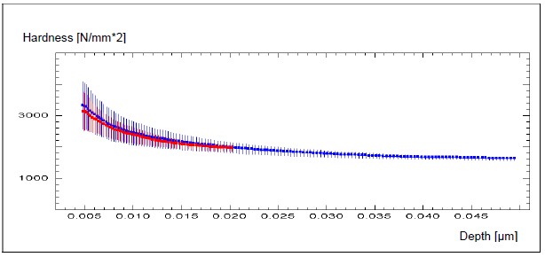
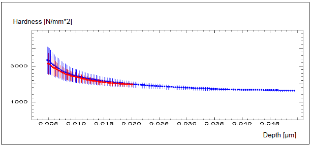
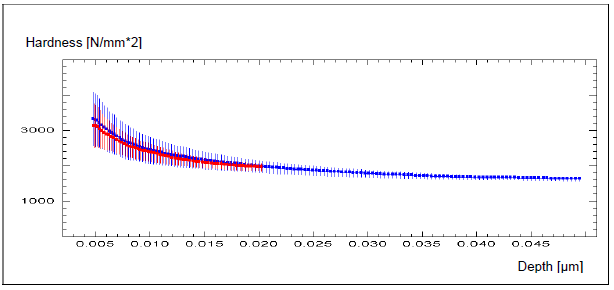
그림 2와 3은 두 개의 다른 금 코팅의 측정 결과를 보여줍니다. 나노인덴테이션 테스트를 사용하여, 0.5 μm Au 코팅에 0.2 mN의 테스트 하중을 가하고 0.2 μm Au 코팅에 0.05 mN의 테스트 하중을 가했습니다.
FISCHER PICODENTOR® HM500 측정 시스템은 특별히 이러한 미세한 하중 및 깊이를 처리하도록 설계되었습니다. 두 샘플의 결과를 더 잘 비교하기 위해 하중 곡선이 모두 동일한 기울기를 갖도록 테스트 시간을 조정했습니다.

그림. 2 : 0.2 μm (빨간색) 및 0.5 μm (파란색) Au 코팅의 표준 편차를 포함하는 하중-변위 곡선의 그래프.

그림. 3 : 0.2 μm (빨간색) 및 0.5 μm (파란색) Au 코팅의 표준 편차를 포함한 마르 텐스 경도 (HM).
두 샘플 모두 거의 동일한 경도 프로파일을 보여줍니다 (그림 3).
표준 편차 (약 5 %의 편차)에 기초하여, 이러한 얇은 코팅에 대해서도 이러한 파라미터가 얼마나 정확하게 결정될 수 있는지를 명확하게 볼 수 있습니다.
매우 얇은 금 코팅의 경도 및 탄성과 같은 중요한 기계적 물성을 정밀하고 정확하게 측정하기 위해 FISCHER의 PICODENTOR® HM500은 이상적인 기기입니다.
자세한 내용은 아래 연락처로 연락주시면 정성껏 답변드리도록 하겠습니다.
이외의 추가적인 문의나 무료 데모테스트 등 가격적으로도 기술적으로도 경쟁력있는 대응을 꼭 약속드립니다.
부담없이 연락주시길 바랍니다.
E-mail: bioh.kim@helmutfischer.com , Tel :02-415-2381
나노인덴터는 소재의 다양한 물성을 측정하여 다양한 솔루션을 제공합니다.